聊一聊OpenCV相机标定

2025-05-27 0 42

相机标定:简单的说,就是获得相机参数的过程。参数如:相机内参数矩阵,投影矩阵,旋转矩阵和平移矩阵等

什么叫相机参数?

简单的说,将现实世界中的人、物,拍成一张图像(二维)。人或物在世界中的三维坐标,和图像上对应的二维坐标间的关系。表达两种不同维度坐标间的关系用啥表示?用相机参数。

相机的成像原理

先来看一下,相机的成像原理:

聊一聊OpenCV相机标定

如图所示,这是一个相机模型。将物体简化看成一个点。来自物体的光,通过镜头,击中图像平面(图像传感器),以此成像。d0是物体到镜头的距离,di时镜头到图像平面的距离,f是镜头的焦距。三者满足以下关系。

聊一聊OpenCV相机标定

现在,简化上面的相机模型。

将相机孔径看成无穷小,只考虑中心位置的射线,这样就忽视了透镜的影响。然后由于d0远远大于di,将图像平面放在焦距处,这样物体在图像平面上成像为倒立的影像(没有透镜的影响,只考虑从中心的孔径进入的光线)。这个简化的模型就是针孔摄像机模型。然后,我们在镜头前,将图像平面放在焦距距离的位置,就可以简单获得一个笔直的图像(不倒立)。当然,这只是理论上的,你不可能将图像传感器从相机里拿出来,放在镜头前面。实际应用中,针孔摄像机应该是将成像后的图像倒过来,以获得正立的图像。
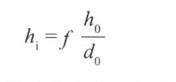
到此,我们获得了一个简化的模型,如下图:

聊一聊OpenCV相机标定

h0是物体的高,hi是图像上物体的高,f是焦距(距离),d0是图像到镜头的距离。四者满足如下关系:

聊一聊OpenCV相机标定(1)

物体在图像中的高度hi,和d0成反比。也就是说,离镜头越远,物体在图像中越小,离得越近越大(好吧,这句话是废话)。
但通过这个式子,我们便能够预测三维中的物体,在图像(二维)中的位置。那么怎么预测?

相机标定

如下图所示,根据上面简化的模型,考虑三维世界中的一个点,和其在图像(二维)中的坐标关系。

聊一聊OpenCV相机标定

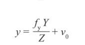
(X,Y,Z)为点的三维坐标,(x,y)为其通过相机成像后在图像(二维)上的坐标。u0和v0是相机的中心点(主点),该点位于图像平面中心(理论上是这样。但实际的相机会有几个像素的偏差)
现在只考虑y方向上,由于需要将三维世界中的坐标,转换为图像上的像素(图像上的坐标,实际上是像素的位置),需要求y方向上焦距等于多少个像素(用像素值表示焦距),Py表示像素的高,焦距f(米或毫米)。垂直像素表示的焦距为

聊一聊OpenCV相机标定

根据式子(1),只考虑y方向。我们三维世界中得点,在图像(二维)中y的坐标。

聊一聊OpenCV相机标定

同理,得到x的坐标。

聊一聊OpenCV相机标定

现在,将上图中的坐标系的原点O,移动到图像的左上角。由于(x,y)是关于(u0,v0)的偏移,上面表示图像(二维)中点的坐标的式子不变。将式子以矩阵的形式重写,得。

聊一聊OpenCV相机标定

其中,等式左边的第一个矩阵,叫做“相机内参数矩阵”,第二个矩阵叫(投影矩阵)。

更为一般的情况,开始时的参考坐标系不位于主点(中心点),需要额外两个参数“旋转向量”和“平移向量”来表示这个式子,这两个参数在不同视角中是不一样的。整合后,上述式子重写为。

聊一聊OpenCV相机标定

校正畸变

通过相机标定,获得了相机参数后,可以计算两个映射函数(x坐标和y坐标),它们分别给出了没有畸变的图像坐标。将畸变的图像重新映射成为没有畸变的图像。

代码:

相机标定时,一般用标定板(棋盘)拍摄一组图像,利用这些图像提取角点,通过角点在图像中得坐标和三维世界中的坐标(通常自定义3维坐标),计算相机参数。

?

1

2

3

4

5
std::vector<cv::Point2f>imageConers;

//提取标定图像角点,保存角点坐标(二维)

cv::findChessboardCorners(image,

boardSize, //角点数目如(6,4)六行,四列

imageConers);

函数calibrateCamera完成相机标定工作。

?

1

2

3

4

5

6

7

8

9
cv::calibrateCamera(objectPoints,//三维坐标

imagePoints, //二维坐标

imageSize,//图像大小

camerMatirx,//相机内参数矩阵

disCoeffs,//投影矩阵

rvecs, //旋转

tvecs,//平移

flag //标记opencv提供几种参数,可以参看在线的opencv document

);

计算畸变参数,去畸变

?

1

2

3

4

5

6

7

8

9

10
//计算畸变参数

cv::initUndistortRectifyMap(camerMatirx, disCoeffs,

cv::Mat(), cv::Mat(), image.size(), CV_32FC1,

map1, //x映射函数

map2 //y映射函数

);

//应用映射函数

cv::remap(image, //畸变图像

undistorted, //去畸变图像

map1, map2, cv::INTER_LINEAR);

现在整合代码。

示例:

标头.h

?

1

2

3

4

5

6

7

8

9

10

11

12

13

14

15

16

17

18

19

20

21

22

23

24

25

26

27

28

29

30

31

32

33

34

35

36

37

38

39

40

41

42

43

44

45

46

47

48

49

50

51

52

53

54

55

56

57

58

59

60

61

62

63

64

65

66

67

68

69

70

71

72

73

74

75

76

77

78

79

80

81

82

83

84

85

86

87

88

89

90

91

92

93

94

95

96

97

98

99

100
#include<opencv2\\core\\core.hpp>

#include<opencv2\\highgui\\highgui.hpp>

#include<opencv2\\imgproc\\imgproc.hpp>

#include<opencv2\\calib3d\\calib3d.hpp>

#include <opencv2/features2d/features2d.hpp>

#include<string>

#include<vector>

class CameraCalibrator

{

private:

//世界坐标

std::vector < std::vector<cv::Point3f >> objectPoints;

//图像坐标

std::vector <std::vector<cv::Point2f>> imagePoints;

//输出矩阵

cv::Mat camerMatirx;

cv::Mat disCoeffs;

//标记

int flag;

//去畸变参数

cv::Mat map1, map2;

//是否去畸变

bool mustInitUndistort;

///保存点数据

void addPoints(const std::vector<cv::Point2f>&imageConers, const std::vector<cv::Point3f>&objectConers)

{

imagePoints.push_back(imageConers);

objectPoints.push_back(objectConers);

}

public:

CameraCalibrator() :flag(0), mustInitUndistort(true){}

//打开棋盘图片,提取角点

int addChessboardPoints(const std::vector<std::string>&filelist,cv::Size &boardSize)

{

std::vector<cv::Point2f>imageConers;

std::vector<cv::Point3f>objectConers;

//输入角点的世界坐标

for (int i = 0; i < boardSize.height; i++)

{

for (int j = 0; j < boardSize.width; j++)

{

objectConers.push_back(cv::Point3f(i, j, 0.0f));

}

}

//计算角点在图像中的坐标

cv::Mat image;

int success = 0;

for (int i = 0; i < filelist.size(); i++)

{

image = cv::imread(filelist[i],0);

//找到角点坐标

bool found = cv::findChessboardCorners(image, boardSize, imageConers);

cv::cornerSubPix(image,

imageConers,

cv::Size(5, 5),

cv::Size(-1, -1),

cv::TermCriteria(cv::TermCriteria::MAX_ITER + cv::TermCriteria::EPS,

30, 0.1));

if (imageConers.size() == boardSize.area())

{

addPoints(imageConers, objectConers);

success++;

}

//画出角点

cv::drawChessboardCorners(image, boardSize, imageConers, found);

cv::imshow("Corners on Chessboard", image);

cv::waitKey(100);

}

return success;

}

//相机标定

double calibrate(cv::Size&imageSize)

{

mustInitUndistort = true;

std::vector<cv::Mat>rvecs, tvecs;

//相机标定

return cv::calibrateCamera(objectPoints, imagePoints, imageSize,

camerMatirx, disCoeffs, rvecs, tvecs, flag);

}

///去畸变

cv::Mat remap(const cv::Mat &image)

{

cv::Mat undistorted;

if (mustInitUndistort)

{

//计算畸变参数

cv::initUndistortRectifyMap(camerMatirx, disCoeffs,

cv::Mat(), cv::Mat(), image.size(), CV_32FC1, map1, map2);

mustInitUndistort = false;

}

//应用映射函数

cv::remap(image, undistorted, map1, map2, cv::INTER_LINEAR);

return undistorted;

}

//常成员函数,获得相机内参数矩阵、投影矩阵数据

cv::Mat getCameraMatrix() const { return camerMatirx; }

cv::Mat getDistCoeffs() const { return disCoeffs; }

};

源.cpp

?

1

2

3

4

5

6

7

8

9

10

11

12

13

14

15

16

17

18

19

20

21

22

23

24

25

26

27

28

29

30

31

32

33

34

35

36

37

38

39

40
#include"标头.h"

#include<iomanip>

#include<iostream>

int main()

{

CameraCalibrator Cc;

cv::Mat image;

std::vector<std::string> filelist;

cv::namedWindow("Image");

for (int i = 1; i <= 22; i++)

{

///读取图片

std::stringstream s;

s << "D:/images/chessboards/chessboard" << std::setw(2) << std::setfill('0') << i << ".jpg";

std::cout << s.str() << std::endl;

filelist.push_back(s.str());

image = cv::imread(s.str(),0);

cv::imshow("Image", image);

cv::waitKey(100);

}

//相机标定

cv::Size boardSize(6, 4);

Cc.addChessboardPoints(filelist, boardSize);

Cc.calibrate(image.size());

//去畸变

image = cv::imread(filelist[1]);

cv::Mat uImage=Cc.remap(image);

cv::imshow("原图像", image);

cv::imshow("去畸变", uImage);

//显示相机内参数矩阵

cv::Mat cameraMatrix = Cc.getCameraMatrix();

std::cout << " Camera intrinsic: " << cameraMatrix.rows << "x" << cameraMatrix.cols << std::endl;

std::cout << cameraMatrix.at<double>(0, 0) << " " << cameraMatrix.at<double>(0, 1) << " " << cameraMatrix.at<double>(0, 2) << std::endl;

std::cout << cameraMatrix.at<double>(1, 0) << " " << cameraMatrix.at<double>(1, 1) << " " << cameraMatrix.at<double>(1, 2) << std::endl;

std::cout << cameraMatrix.at<double>(2, 0) << " " << cameraMatrix.at<double>(2, 1) << " " << cameraMatrix.at<double>(2, 2) << std::endl;

cv::waitKey(0);

}

实验结果:

聊一聊OpenCV相机标定
聊一聊OpenCV相机标定

看以看到,相机内参数矩阵为

172.654 、0、157.829
0、184.195、118.635
0 、0 、1

以上就是本文的全部内容,希望对大家的学习有所帮助,也希望大家多多支持快网idc。

收藏 (0) 打赏

感谢您的支持,我会继续努力的!

打开微信/支付宝扫一扫,即可进行扫码打赏哦,分享从这里开始,精彩与您同在
点赞 (0)

声明:本站所有文章,如无特殊说明或标注,均为本站原创发布。任何个人或组织,在未征得本站同意时,禁止复制、盗用、采集、发布本站内容到任何网站、书籍等各类媒体平台。如若本站内容侵犯了原著者的合法权益,可联系我们进行处理。

快网idc优惠网 建站教程 聊一聊OpenCV相机标定 https://www.kuaiidc.com/73248.html

相关文章

发表评论
暂无评论