使用C语言解决字符串全排列问题

2025-05-27 0 40

问题
输入一个字符串,打印出该字符串中字符的所有排列。例如输入字符串abc,则输出由字符a,b,c所能排列出来的所有字符串abc,acb,bac,bca,cab和cba

思路
这是典型的递归求解问题,递归算法有四个特性:

  1. 必须有可达到的终止条件,否则程序陷入死循环
  2. 子问题在规模上比原问题小
  3. 子问题可通过再次递归调用求解
  4. 子问题的解应能组合成整个问题的解


对于字符串的排列问题:
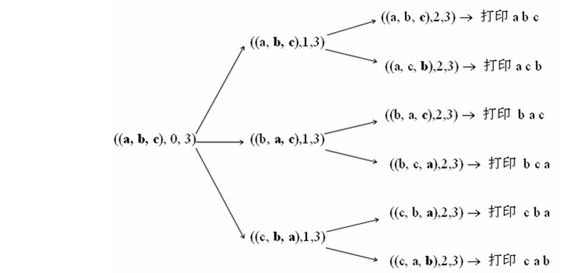
如果能生成n-1个元素的全排列,就能生成n个元素的全排列。对于只有一个元素的集合,可以直接生成全排列。所以全排列的递归终止条件很明确,只有一个元素时。我们可以分析一下全排列的过程:

  • 首先,我们固定第一个字符a,求后面两个字符bc的排列
  • 当两个字符bc排列求好之后,我们把第一个字符a和后面的b交换,得到bac,接着我们固定第一个字符b,求后面两个字符ac的排列
  • 现在是把c放在第一个位置的时候了,但是记住前面我们已经把原先的第一个字符a和后面的b做了交换,为了保证这次c仍是和原先处在第一个位置的a交换,我们在拿c和第一个字符交换之前,先要把b和a交换回来。在交换b和a之后,再拿c和处于第一位置的a进行交换,得到cba。我们再次固定第一个字符c,求后面两个字符b、a的排列
  • 既然我们已经知道怎么求三个字符的排列,那么固定第一个字符之后求后面两个字符的排列,就是典型的递归思路了


下面这张图很清楚的给出了递归的过程:

使用C语言解决字符串全排列问题

基本解决方法
方法1
:依次从字符串中取出一个字符作为最终排列的第一个字符,对剩余字符组成的字符串生成全排列,最终结果为取出的字符和剩余子串全排列的组合。

?

1

2

3

4

5

6

7

8

9

10

11

12

13

14

15

16

17

18

19

20

21

22

23

24

25

26
#include <iostream>

#include <string>

using namespace std;

void permute1(string prefix, string str)

{

if(str.length() == 0)

cout << prefix << endl;

else

{

for(int i = 0; i < str.length(); i++)

permute1(prefix+str[i], str.substr(0,i)+str.substr(i+1,str.length()));

}

}

void permute1(string s)

{

permute1("",s);

}

int main()

{

//method1, unable to remove duplicate permutations.

cout << "method1" << endl;

permute1("ABA");

}

优点:该方法易于理解,但无法移除重复的排列,如:s="ABA",会生成两个“AAB”。

方法2:利用交换的思想,具体见实例,但该方法不如方法1容易理解。

使用C语言解决字符串全排列问题

?

1

2

3

4

5

6

7

8

9

10

11

12

13

14

15

16

17

18

19

20

21

22

23

24

25

26

27

28

29

30

31

32

33

34

35

36

37

38

39

40

41

42

43

44
#include <iostream>

#include <string>

#include <cstdio>

using namespace std;

void swap(char* x, char* y)

{

char tmp;

tmp = *x;

*x = *y;

*y = tmp;

}

/* Function to print permutations of string

This function takes three parameters:

1. String

2. Starting index of the string

3. Ending index of the string. */

void permute(char *a, int i, int n)

{

int j;

if (i == n)

printf("%s\\n", a);

else

{

for (j = i; j <= n; j++)

{

if(a[i] == a[j] && j != i) //为避免生成重复排列,当不同位置的字符相同时不再交换

   continue;

swap((a+i), (a+j));

permute(a, i+1, n);

swap((a+i), (a+j)); //backtrack

}

}

}

int main()

{

//method2

cout << "method2" << endl;

char a[] = "ABA";

permute(a,0,2);

return 0;

}

两种方法的生成结果:

?

1

2

3

4

5

6

7

8

9

10

11
method1

ABA

AAB

BAA

BAA

AAB

ABA

method2

ABA

AAB

BAA

下面来看ACM题目实例

示例题目
题目描述

题目描述:
给定一个由不同的小写字母组成的字符串,输出这个字符串的所有全排列
我们假设对于小写字母有'a' < 'b' < … < 'y' < 'z',而且给定的字符串中的字母已经按照从小到大的顺序排列。
输入:
输入只有一行,是一个由不同的小写字母组成的字符串,已知字符串的长度在1到6之间。
输出:
输出这个字符串的所有排列方式,每行一个排列。要求字母序比较小的排列在前面。字母序如下定义:
已知S = s1s2…sk , T = t1t2…tk,则S < T 等价于,存在p (1 <= p <= k),使得
s1 = t1, s2 = t2, …, sp – 1 = tp – 1, sp < tp成立。
样例输入:
abc
样例输出:
abc
acb
bac
bca
cab
cba
提示:
每组样例输出结束后要再输出一个回车。

ac代码

?

1

2

3

4

5

6

7

8

9

10

11

12

13

14

15

16

17

18

19

20

21

22

23

24

25

26

27

28

29

30

31

32

33

34

35

36

37

38

39

40

41

42

43

44

45

46

47

48

49

50

51

52

53

54

55

56

57

58

59

60

61
#include <stdio.h>

#include <stdlib.h>

#include <string.h>

struct seq

{

char str[7];

};

struct seq seqs[721];

int count;

void swap(char *str, int a, int b)

{

char temp;

temp = str[a];

str[a] = str[b];

str[b] = temp;

}

void permutation_process(char *name, int begin, int end) {

int k;

if (begin == end - 1) {

strcpy(seqs[count].str, name);

count ++;

}else {

for (k = begin; k < end; k ++) {

swap(name, k, begin);

permutation_process(name, begin + 1, end);

swap(name, k, begin);

}

}

}

int compare(const void *p, const void *q)

{

const char *a = p;

const char *b = q;

return strcmp(a, b);

}

int main()

{

char name[7];

int i, len;

while (scanf("%s", name) != EOF) {

count = 0;

len = strlen(name);

permutation_process(name, 0, len);

qsort(seqs, count, sizeof(seqs[0]), compare);

for (i = 0; i < count; i ++) {

printf("%s\\n", seqs[i].str);

}

printf("\\n");

}

return 0;

}


/**************************************************************
Problem: 1120
User: wangzhengyi
Language: C
Result: Accepted
Time:710 ms
Memory:920 kb
****************************************************************/

去掉重复的全排列
上述代码有个缺陷,就是会造成重复数据的输出,例如abb这种字符串,上述程序跑完结果如图:

使用C语言解决字符串全排列问题

由于全排列就是从第一个数字起,每个数分别与它后面的数字交换,我们先尝试加个这样的判断——如果一个数与后面的数字相同那么这两个数就不交换了。例如abb,第一个数与后面两个数交换得bab,bba。然后abb中第二个数和第三个数相同,就不用交换了。但是对bab,第二个数和第三个数不同,则需要交换,得到bba。由于这里的bba和开始第一个数与第三个数交换的结果相同了,因此这个方法不行。

换种思维,对abb,第一个数a与第二个数b交换得到bab,然后考虑第一个数与第三个数交换,此时由于第三个数等于第二个数,所以第一个数就不再用与第三个数交换了。再考虑bab,它的第二个数与第三个数交换可以解决bba。此时全排列生成完毕!

这样,我们得到在全排列中去掉重复的规则:
去重的全排列就是从第一个数字起,每个数分别与它后面非重复出现的数字交换。

贴出上面ac代码的去重版本:

?

1

2

3

4

5

6

7

8

9

10

11

12

13

14

15

16

17

18

19

20

21

22

23

24

25

26

27

28

29

30

31

32

33

34

35

36

37

38

39

40

41

42

43

44

45

46

47

48

49

50

51

52

53

54

55

56

57

58

59

60

61

62

63

64

65

66

67

68

69

70

71

72

73

74

75

76

77
#include <stdio.h>

#include <stdlib.h>

#include <string.h>

struct seq

{

char str[7];

};

struct seq seqs[721];

int count;

int is_swap(char *str, int begin, int k)

{

int i, flag;

for (i = begin, flag = 1; i < k; i ++) {

if (str[i] == str[k]) {

flag = 0;

break;

}

}

return flag;

}

void swap(char *str, int a, int b)

{

char temp;

temp = str[a];

str[a] = str[b];

str[b] = temp;

}

void permutation_process(char *name, int begin, int end) {

int k;

if (begin == end - 1) {

strcpy(seqs[count].str, name);

count ++;

}else {

for (k = begin; k < end; k ++) {

if (is_swap(name, begin, k)) {

swap(name, k, begin);

permutation_process(name, begin + 1, end);

swap(name, k, begin);

}

}

}

}

int compare(const void *p, const void *q)

{

const char *a = p;

const char *b = q;

return strcmp(a, b);

}

int main()

{

char name[7];

int i, len;

while (scanf("%s", name) != EOF) {

count = 0;

len = strlen(name);

permutation_process(name, 0, len);

qsort(seqs, count, sizeof(seqs[0]), compare);

for (i = 0; i < count; i ++) {

printf("%s\\n", seqs[i].str);

}

printf("\\n");

}

return 0;

}

收藏 (0) 打赏

感谢您的支持,我会继续努力的!

打开微信/支付宝扫一扫,即可进行扫码打赏哦,分享从这里开始,精彩与您同在
点赞 (0)

声明:本站所有文章,如无特殊说明或标注,均为本站原创发布。任何个人或组织,在未征得本站同意时,禁止复制、盗用、采集、发布本站内容到任何网站、书籍等各类媒体平台。如若本站内容侵犯了原著者的合法权益,可联系我们进行处理。

快网idc优惠网 建站教程 使用C语言解决字符串全排列问题 https://www.kuaiidc.com/75688.html

相关文章

发表评论
暂无评论