一:递归实现
使用公式f[n]=f[n-1]+f[n-2],依次递归计算,递归结束条件是f[1]=1,f[2]=1。
二:数组实现
空间复杂度和时间复杂度都是0(n),效率一般,比递归来得快。
三:vector<int>实现
时间复杂度是0(n),时间复杂度是0(1),就是不知道vector的效率高不高,当然vector有自己的属性会占用资源。
四:queue<int>实现
当然队列比数组更适合实现斐波那契数列,时间复杂度和空间复杂度和vector<int>一样,但队列太适合这里了,
f(n)=f(n-1)+f(n-2),f(n)只和f(n-1)和f(n-2)有关,f(n)入队列后,f(n-2)就可以出队列了。
五:迭代实现
迭代实现是最高效的,时间复杂度是0(n),空间复杂度是0(1)。
六:公式实现
百度的时候,发现原来斐波那契数列有公式的,所以可以使用公式来计算的。
由于double类型的精度还不够,所以程序算出来的结果会有误差,如果把公式展开计算,得出的结果就是正确的。
完整的实现代码如下:
?
1
2
3
4
5
6
7
8
9
10
11
12
13
14
15
16
17
18
19
20
21
22
23
24
25
26
27
28
29
30
31
32
33
34
35
36
37
38
39
40
41
42
43
44
45
46
47
48
49
50
51
52
53
54
55
56
57
58
59
60
61
62
63
64
65
66
67
68
69
70
71
72
73
74
75
76
77
78
79
80
81
82
83
84
85
86
87
88
89
90
91
92
93
94
|
#include "iostream"
#include "queue"
#include "cmath"
using namespace std;
int fib1( int index) //递归实现
{
if (index<1)
{
return -1;
}
if (index==1 || index==2)
return 1;
return fib1(index-1)+fib1(index-2);
}
int fib2( int index) //数组实现
{
if (index<1)
{
return -1;
}
if (index<3)
{
return 1;
}
int *a= new int [index];
a[0]=a[1]=1;
for ( int i=2;i<index;i++)
a[i]=a[i-1]+a[i-2];
int m=a[index-1];
delete a; //释放内存空间
return m;
}
int fib3( int index) //借用vector<int>实现
{
if (index<1)
{
return -1;
}
vector< int > a(2,1); //创建一个含有2个元素都为1的向量
a.reserve(3);
for ( int i=2;i<index;i++)
{
a.insert(a.begin(),a.at(0)+a.at(1));
a.pop_back();
}
return a.at(0);
}
int fib4( int index) //队列实现
{
if (index<1)
{
return -1;
}
queue< int >q;
q.push(1);
q.push(1);
for ( int i=2;i<index;i++)
{
q.push(q.front()+q.back());
q.pop();
}
return q.back();
}
int fib5( int n) //迭代实现
{
int i,a=1,b=1,c=1;
if (n<1)
{
return -1;
}
for (i=2;i<n;i++)
{
c=a+b; //辗转相加法(类似于求最大公约数的辗转相除法)
a=b;
b=c;
}
return c;
}
int fib6( int n)
{
double gh5= sqrt (( double )5);
return ( pow ((1+gh5),n)- pow ((1-gh5),n))/( pow (( double )2,n)*gh5);
}
int main( void )
{
printf ( "%d\\n" ,fib3(6));
system ( "pause" );
return 0;
}
|
七:二分矩阵方法
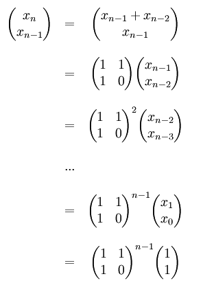
如上图,Fibonacci 数列中任何一项可以用矩阵幂算出,而n次幂是可以在logn的时间内算出的。
下面贴出代码:
?
1
2
3
4
5
6
7
8
9
10
11
12
13
14
15
16
17
18
19
20
21
22
23
24
25
26
27
28
29
30
31
32
|
void multiply( int c[2][2], int a[2][2], int b[2][2], int mod)
{
int tmp[4];
tmp[0]=a[0][0]*b[0][0]+a[0][1]*b[1][0];
tmp[1]=a[0][0]*b[0][1]+a[0][1]*b[1][1];
tmp[2]=a[1][0]*b[0][0]+a[1][1]*b[1][0];
tmp[3]=a[1][0]*b[0][1]+a[1][1]*b[1][1];
c[0][0]=tmp[0]%mod;
c[0][1]=tmp[1]%mod;
c[1][0]=tmp[2]%mod;
c[1][1]=tmp[3]%mod;
} //计算矩阵乘法,c=a*b
int fibonacci( int n, int mod) //mod表示数字太大时需要模的数
{
if (n==0) return 0;
else if (n<=2) return 1; //这里表示第0项为0,第1,2项为1
int a[2][2]={{1,1},{1,0}};
int result[2][2]={{1,0},{0,1}}; //初始化为单位矩阵
int s;
n-=2;
while (n>0)
{
if (n%2 == 1)
multiply(result,result,a,mod);
multiply(a,a,a,mod);
n /= 2;
} //二分法求矩阵幂
s=(result[0][0]+result[0][1])%mod; //结果
return s;
}
|
附带的再贴上二分法计算a的n次方函数。
?
1
2
3
4
5
6
7
8
9
10
11
12
|
int pow ( int a, int n)
{
int ans=1;
while (n)
{
if (n&1)
ans*=a;
a*=a;
n>>=1;
}
return ans;
}
|
相关文章
猜你喜欢
- ASP.NET自助建站系统的数据库备份与恢复操作指南 2025-06-10
- 个人网站服务器域名解析设置指南:从购买到绑定全流程 2025-06-10
- 个人网站搭建:如何挑选具有弹性扩展能力的服务器? 2025-06-10
- 个人服务器网站搭建:如何选择适合自己的建站程序或框架? 2025-06-10
- 64M VPS建站:能否支持高流量网站运行? 2025-06-10
TA的动态
- 2025-07-10 怎样使用阿里云的安全工具进行服务器漏洞扫描和修复?
- 2025-07-10 怎样使用命令行工具优化Linux云服务器的Ping性能?
- 2025-07-10 怎样使用Xshell连接华为云服务器,实现高效远程管理?
- 2025-07-10 怎样利用云服务器D盘搭建稳定、高效的网站托管环境?
- 2025-07-10 怎样使用阿里云的安全组功能来增强服务器防火墙的安全性?
快网idc优惠网
QQ交流群
您的支持,是我们最大的动力!
热门文章
-
2025-05-27 89
-
2025-05-29 14
-
2025-05-26 103
-
SparkyLinux 7 “Orion Belt” 评测:稳定性与新鲜感的结合
2025-05-27 39 -
2025-05-27 46
热门评论